40,2592$% 0.13
46,7280€% 0.07
53,9463£% 0.2
4.309,12%-0,18
7.021,00%0,34
28.001,00%0,34
3.335,67%0,36
10.222,02%-0,03
4782277฿%1.63469

Bir zamanlar. Devlet dairelerine girmek için mutlaka fetucu olmuşlar.
Önümüzdeki yıllar da fetocu tarikatı yok olacak onların yerine başka bir tarikat ile devlet ve halk karşılaşacak
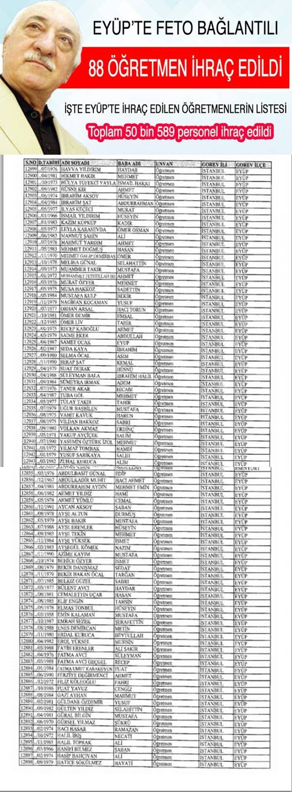
Resmi Gazete’de yeni kanun hükmünde kararname yayımlandı. 672 sayılı kanun hükmünde kararname ile “terör örgütlerine ya da Milli Güvenlik Kurulu’nca devletin milli güvenliğine karşı faaliyette bulunduğuna karar verilen yapı, oluşum ya da gruplara üyeliği, mensubiyeti ya da iltisakı yahut bunlarla irtibatı olan”; Emniyet Genel Müdürlüğü, Jandarma Genel Komutanlığı, Sahil Güvenlik Komutanlığı ve kamu kurumlarındaki çok sayıda kişi ihraç edildi.
7669 Emniyet Müdürlüğü çalışanı, 323 Jandarma Genel Komutanlığı mensubu, 2 sahil güvenlik komutanlığı personeli ve 24 merkez valisi kamudan ihraç edildi.
Milli Eğitim Bakanlığı’ndan 28 bin 163, Maliye’den bin 642, YÖK’ten 2 bin 346, TRT’den 312 personelin kamu ile ilişkisi kesildi. Milli Eğitim Bakanlığı’nda 15 Temmuz darbe girişimi sonrası açığa alınan tüm personelin işine son verilmiş oldu. 50 bin 589 kamu personeli bu KHK ile ihraç edildi.


Ak parti FETÖcu heyeti kurdu il ve ilçe araştırma heyeti gizlice çalışıyor. Yeni iş takibi rüşveti veren FETÖ cuları bu heyet kurtarıyor.
166 YILLIK TARİHİ ŞİLE DENİZ FENERİNİN “ŞİLE BEZİ SATIŞ OFİSİ” OLARAK KULLANILIYOR OLMASI İLÇEDE ŞAŞKINLIK YARATTI!..

Ümraniye Esnaf ve Sanatkarlar Odası Başkanı Mehmet Özdil: 5.000 m²’lik Taşınmazlar Geri Alındı..

Moda Tasarımcısı Erol Albayrak “Moira by Urfa” Koleksiyonuyla Muhteşem Defileye İmza Attı..

Şile Belediye Meclisi Ekim Ayı İlk Oturumunda Borçlar ve Şile Bezi Festivali Tartışıldı

Down sendromlu sanatçı Madaslı’nın ‘Masumiyetin Kırmızısı’ serigisi Tekirdağ’da

LİSE ÖĞRENCİLERİNE KARİYER GELİŞİMİ EĞİTİMİ UZAY TEKNOLOJİSİYLE AKTARILACAK

Türkiye ile Bulgaristan Maçında Heyecan: 2026 Dünya Kupası Kritik Deplasman

ATEŞ TESİSAT KANAL GÖRÜNTÜLEME

BTP’nin 9. Olağan Kongresi şölen havasında geçti Hüseyin Baş: Bağımsız Türkiye salonlara sığmıyor “İstikbal biziz, biz geleceğiz” “Türkiye’nin terörsüz olması için demokrasisiz olması gerekiyormuş” “Vatandaşlık maaşını ilk 2004 yılında Prof. Dr. Haydar…

BTP 9. Olağan Büyük Kongresini 7 Aralık Pazar Günü Yapacak

Ekonomide Gerçek Dönüşüm Şarttır”

MEHMET BEKHAN: MİLLETİN İRADESİYLE YENİDEN İNŞA EDİLECEK BİR SİYASET DÖNEMİ BAŞLIYOR

Mustafa Sandal’dan Hüseyin Baş’a; Seviyorum seni adam!
Muhtarlık seçim sonuçları! Mahalle muhtarınızı nasıl öğrenebilirsiniz? Muhtarlık sonuçları sorgulama
OZAN AHMET TAŞKIN BİZ GELİRİZ DEVLET BEYİM,
Deva Partisi Sarı kart Gösterdi
Kastamonulu Şevket Doğan
AÇIZ AÇ
Ekotom Hastanesi Başhekimi çirkin olaya cevap verdi işte videonun gerçeği
Avrupa Birliği Gazetesi 232 Sayısı
Veri politikasındaki amaçlarla sınırlı ve mevzuata uygun şekilde çerez konumlandırmaktayız. Detaylar için veri politikamızı inceleyebilirsiniz.